In a previous post we discussed beta methods for driven pile shaft friction in sands, which are pretty much accepted, although (as always) the values for can vary from one formulation to the next. With clays, also as always, things are more complicated.
Since the researches of Tomlinson in the 1950’s, the shaft friction of piles in clays has been thought to be a function of the undrained shear strength of the clay multiplied by an adhesion factor , thus
This was seriously challenged by Burland (1973) who noted the following:
Whereas the use of undrained shear strength for calculating the end bearing capacity of a pile appears justified there seems little fundamental justification for relating shaft adhesion to undrained strength for the following reasons:
-
the major shear distortion is confined to a relatively thin zone around the pile shaft (Cooke and Price (1973)). Drainage either to or from this narrow zone will therefore take place rapidly during loading;
-
the installation of a pile, whether driven or cast-in situ, inevitably must disturb and remould the ground adjacent to the pile shaft;
-
quite apart from the disturbance caused by the pile there is no simple relationship between the undrained strength and drained strength of the ground.
Burland buttressed his case by noting that
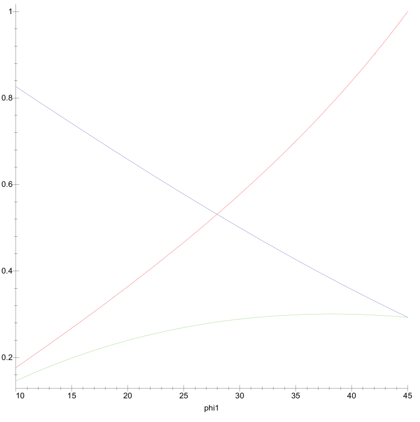
and presenting a graph similar to the following:

where, as seen earlier,
is in red.
is in blue.
is in green.
Since, for the ranges of drained friction angles for clay (20-25 deg.) the value for was relatively constant, value of
were relatively invariant with friction angle, and thus could be estimated with relative accuracy. His empirical correlation was very successful with soft clays, not as much with stiff ones.
The year after Burland made his proposal, McClelland (1974) noted the following:
It is not surprising that there is a growing dissatisfaction with attempts to solve this problem through correlations of
with
. This is accompanied by a growing conviction that pile support in clay is frictional in character–that load transfer is dependent upon the effective lateral pressure acting against the side of the pile after it is driven.
However, methods–which would embody McClelland’s preferred idea–have never been universally accepted for pile shaft friction in clays. A large part of the problem, as noted by Randolph, Carter and Wroth (1979) is that the lateral pressure itself is dependent upon the undrained shear strength of the soils. It is thus impossible to completely discount the effect of undrained shear strength on the shaft friction, even with the remoulding Burland and others have noted.
This has led to the “hybrid” approach of considering both undrained shear strength and effective stress. This is embodied in the American Petroleum Institute (2002) specification. A more advanced version of this is given in Kolk and van der Velde (1996). They give the factor as
The notation is the same as in this post except that we add , which is the undrained shear strength.
In this case the unit shaft friction is given by the equation
There are a couple of things worth noting about this.
The first is that we can transform this into a method of the form
with the following multiplication
(A similar operation appears in Randolph (2005).)
in which case
The only thing we would have to do is to find a way to incorporate the limiting condition for , which we will discuss shortly.
The second thing is that the term appears in both this formulation and that for sands in this post. The difference is that, while Kolk and van der Velde (1996) use the term in a power relationship, Randolph (2005) uses it in an exponential way. The basic concept in both is the same: the term is at a maximum at the pile toe and decays toward the mudline.
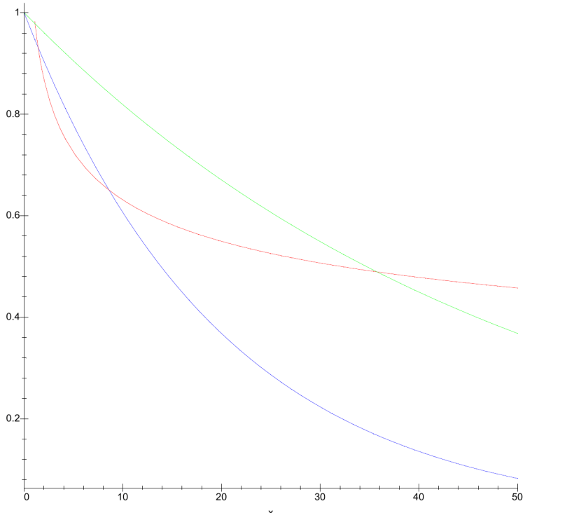
The two are compared in the figure below.

Here the quantity is at the x-axis and the following is at the y-axis:
- Kolk and van der Velde Method for Clays,
in red.
- Randolph Method for Sands,
in blue, where
.
in green, where
.
The graph illustrates the problem (from a computational standpoint) with the Kolk and van der Velde method: there is a singularity in their coefficient using the power relationship at the pile toe, while the exponential relationship yields a value of unity at this point. The last correlation in green is approximately the best fit of the exponential relationship with the power relationship of Kolk and van der Velde, using either 1-norm or 2-norm methods. It is not very good; it would be interesting, however, to see what kind of value for might result if this had been in Kolk and van der Velde’s original statistical correlation equation.
In view of all this, perhaps the best way to enforce the limit is to do so as follows:
From all this, we can say that it is certainly possible to compute shaft friction for driven piles with a method provided we include the effects of the undrained shear strength.
References
In addition to the original study and previous posts, the following references are noted:
Kolk, A.J., and van der Velde, A. (1996) “A Reliable Method to Determine Friction
Capacity of Piles Driven into Clays.” Proceedings of the 28th Offshore Technology Conference, Houston, TX, 6-9 May. OTC 7993.
McClelland, B. (1974) “Design of Deep Penetration Piles for Ocean Structures.” Journal of the Geotechnical Engineering Division, ASCE, Vol. 111, July.

9 thoughts on “Shaft Friction for Driven Piles in Clay: Alpha or Beta Methods?”