Posted in Uncategorized

Overcoming Soil Uncertainty in Prediction of Construction and Industrial Vibrations

Mark R. Svinkin

This article courtesy of Dr. Mark R. Svinkin, to whom we are deeply grateful. Figures supplied by the author can be viewed at the bottom of the page.

Abstract

Uncertainty in geological stratification can strongly affect the prediction of ground and structure vibrations from construction and industrial sources. This paper presents the application of the deterministic impulse response function concept to solve the geotechnical problem of prediction of ground and structure vibrations before installation of a vibration source. This approach employs experimental impulse response functions for the considered dynamic system. These functions reflect real behaviour of soil and structures without the investigation of soil and structure properties. Ways for determining dynamic loads applied to the ground from different dynamic sources are also shown. A procedure is presented to compute predicted ground and structure vibrations. Good correlation is found between predicted and measured records.

1. Introduction

Construction operations and vibrations of foundations under machines with dynamic loads generate elastic waves in soil which may adversely affect surrounding buildings. Their effects range from serious disturbance of working conditions for sensitive devices and people, to visible structural damage. The most prevalent powerful sources of construction and industrial vibrations are pile driving activities, dynamic compaction of granular soil, and vibrations of foundations for impact machines. These sources transmit predominantly vertical dynamic forces to the ground.

Analysis of experimental data (Barkan, 1962; Richart et al., 1970; Attewell and Farmer, 1973; Svinkin, 1976a; Mallard and Bastow, 1979; Woods and Jedele, 1985; Mayne, 1985) reveals that soil vibrations are mostly vertical near the sources of vertical impact loads, but at a certain distance vertical and horizontal soil vibrations become similar. For some locations on the ground surface, amplitudes of horizontal vibrations might be 2-3 times greater than vertical ones. Waves travel in all directions from the source of vibrations forming a series of fairly harmonic waves with the predominant frequency equal or close to the frequency of the source. In various soils, the basic frequency of vertical soil vibrations may either increase or decrease with distance from the source by 30-50 %. Spectra of the radial components of horizontal soil vibrations have a few maxima and the one corresponding the frequency of the source is not always the largest. The tangential components of horizontal soil vibrations have a higher frequency content as compared with radial ones. Spectra maxima of the tangential components are 2-2.5 times higher in frequency than the natural frequencies of source vibrations. In general, faster attenuation of high frequency components is the primary cause of changes of soil vibrations with distance from the source. However, some records can not be explained by this mechanism. Typical records and spectra of hammer foundation and soil vibrations from an operating forge hammer with a falling mass of 7.25 tonnes are shown on Figure 1.

Actually, a real soil medium displays some degree of elastic anisotropy and wave propagation has to be assumed to be anisotropic unless it has been shown to be effectively isotropic (Helbig, 1993). Moreover, uncertainties about the geologic profile cannot be accurately characterized, even by thorough and extensive investigations. The inherent spatial variations in the ground are not always readily identifiable by routine boring, sampling, and testing (Thorburn, 1994). For instance, Hammond (1959) reported a case history of the influence of the soil strata upon frequencies of soil vibrations and amplitudes of building vibrations at the site where a foundation was installed for a forge hammer with a falling mass of 8.0 tonnes. The main frequency of propagated waves was 22.0 Hz to the west of the hammer foundation and, at the same time, in opposite direction to the east of the source, this frequency was 10.0 Hz. Soil vibrations with the higher frequency excited resonant building oscillations.

The proximity of the frequency of horizontal soil vibrations to one of a building’s natural frequencies may generate the conditions of resonance in that building. Moreover, vertical ground vibrations can cause dangerous structural settlements. Considerable data have been collected and published with respect to intolerable vibrations and settlements from construction and industrial sources, e.g. Barkan (1962), Richart et al. (1970), Wiss (1981); Lacy and Gould (1985), Svinkin (1993); Dowding (1994) and others. To estimate the undesirable effect of generated vibrations, it is important to predict accurately and reliably vibrations of the ground, building structures and equipment.

Empirical equations are used for practical assessment of expected soil vibrations from industrial and construction sources. However, they usually allow calculation of only a vertical amplitude of the peak part of vibration records, and not always with the required accuracy. These equations cannot reflect specific differences of soil conditions at each site, even though heterogeneity and spatial variation of soil properties strongly affect characteristics of propagated waves in soil from construction and industrial vibration sources.

Complicated analytical methods (e.g. Broers and Dieterman, 1992; Hanazato and Kishida, 1992) give accurate results for certain cases, but actually these methods are mostly powerful tools for cases where quality investigations have been performed at a site. Indeed, for the prediction of expected vibrations it is necessary to have actual information about the soil deposit and to choose a proper soil model to compute vibrations. Half-space or layered media are used for idealization of existing soil conditions. Computed results contain valuable data about general tendencies of wave propagation at a site, but cannot present accurate and complete soil vibration records at any point of interest. For the use of computational methods, it is necessary to know some soil properties as, for example, shear wave velocity. Similar information is often missing for sites with a real source of vibrations. Leroueil and Tavenas (1981) demonstrated that the assumptions in analytical methods should be adequate to achieve good computed results. Besides, Thorburn (1994) underlined that “although soil variability can be expressed in terms of probability, the reliability of the theoretical models used in predictive calculations cannot be determined by probability theory”.

From the deterministic perspective, this paper deals with the application of the impulse response function concept to predict ground and structure vibrations before the beginning of construction activities or installation of machine foundations. This approach employs experimental impulse response functions reflecting real behavior of soil and structures without the investigation of soil and structure properties. It also provides an opportunity for proper determination of vibration levels and aids in monitoring of ground, structure and device vibrations prior to start of construction and industrial activities.

2. Suggested Approach

The suggested deterministic approach is founded on utilization of the impulse response function technique for predicting complete vibration records on existing soils, buildings and equipment prior to installation of construction and industrial vibration sources (Svinkin 1973a, 1991). The impulse response function (IRF) is an output signal of the system based on a single instantaneous impulse input (Mayhan, 1984; Bendat and Piersol, 1993). Impulse response functions are applied for analysis of any complicated linear dynamic system with unknown internal structure for which mathematical description is very difficult. In the case under consideration, the dynamic system is the soil medium through which waves propagate outward from sources of construction and industrial vibrations. The input of the system is the ground at the place of pile driving, dynamic compaction of soil, or installation of a machine foundation; the output is a location of interest situated on the surface or inside the soil, or any point at a building receiving vibrations. Output can be obtained, for example, as the vibration records of displacements at locations of interest.

Impulse response functions of the considered dynamic system are determined by setting up an experiment (Figure 2). Such an approach (a) does not require routine soil boring, sampling, or testing at the site where waves propagate from the vibration source, (b) eliminates the need to use mathematical models of soil bases and structures in practical applications, and (c) provides the flexibility of considering heterogeneity and variety of soil and structural properties. Unlike analytical methods, experimental IRFs reflect real behaviour of soil and structures without investigation of the soil and structure properties. Because of that, the suggested method has substantially greater capabilities in comparison with other existing methods.

The following is a general outline of the method for predicting vibrations at a distance from an impact source.

  1. At the place in the field for installation of the impact source, impacts of known magnitude are applied onto the ground (Figure 2). The impact can be created using a rigid steel sphere or pear-shaped mass falling from a bridge or mobile crane. At the moment of the impact onto the ground, oscillations are measured and recorded at the points of interest, for example, at the locations of devices sensitive to vibrations. These oscillations are the IRFs of the treated system which automatically take into account complicated soil conditions.
  2. Various ways are used to determine the dynamic loads on the ground from different vibration sources. For pile driving, dynamic loads are computed by wave equation analysis. In the case of operation of machines on foundations, these loads can be found using existing foundation dynamics theories. For dynamic compaction sites, loads from the source are easily calculated with known falling weights and heights.
  3. Duhamel’s integral (Smith and Downey, 1968) is used to compute predicted vibrations, which will arise after impact of the source.

3. Linearity of Soil Vibrations

A basic assumption of the suggested method is linearity of the soil medium where waves propagate from vibration sources. Considerable data related to linearity of the foundation-soil system have been published, for example, Barkan (1962), Bibanov et al. (1964), Sliwa (1964), Lysmer and Richart (1966), Svinkin (1973b) and others.

It is important to show that the linear technique can be used for a soil medium to predict ground vibrations at some distance from the source. For this goal, records of ground vibrations were measured at various distances from vibration sources-foundations for impact machines. Vibration records were analyzed with respect to the magnitude of excited forces applied to machine foundations. Linearity of soil medium was investigated by direct verification of the requirements of linear systems (Mayhan, 1984). Suppose, there are two records of soil displacements as functions of force z1=f(F1) and z2=f(F2). The system is linear if and only if both the property of homogeneity is satisfied

(1)

and the property of additivity is satisfied

(2)

Actually, for any linear system it is always correct to separate the excitation into an arbitrary number of parts, find the response of each separately, and add the results. This superposition technique is demonstrated in Figure 3. In this typical example, measured records of ground vibration displacements were obtained from an operating drop hammer with a falling mass of 10.0 tonnes. Velocities at the moment of impact were 6.3 and 18.8 m/s. Then, records of vibrations were redrawn in proportional scales corresponding to values of operating impulse loadings. A good correlation of compared records can be seen for each of two locations at different distances from the source. Similar results were obtained in other case histories.

Analysis of experimental studies has shown that shapes of records depend slightly on intensity of impulse loading and maxima of vibration displacements are actually proportional to values of impulse loading. These results support the application of the linear theory to describe ground vibrations excited by construction and industrial sources.

4. Impulse Response Functions

The effect of soil properties on expected vibrations at locations of interest is completely reflected in the records of IRFs obtained at the moment of impact onto the ground at the place of the vibration source. Stability of the IRFs is very important for reliable prediction of ground and structure vibrations. At the moment of impact, an inelastic collision occurs at the contact area between the falling mass and the ground. For that reason, in-situ experiments were made to investigate the effect of plastic soil deformations at the moment of impact under a falling rigid mass on ground surface vibrations (Svinkin, 1976b). Both small and large falling masses were used.

The small falling steel weight had a cylindrical shape with a 20 cm diameter and 100 kg mass. Drop heights were 0.5 and 2 m. Impacts were made by the dropping the steel mass on the same spot for various conditions at the contact area between the ground and the mass. First, impacts were applied to the ground surface. Then an excavation was dug with dimensions 0.7 x 0.7 m in a plan and 0.3 m deep. Impacts were applied to the bottom of the excavation, then onto a steel plate with spikes pressed in the soil at the bottom of the excavation, and after that, onto the sand and gravel which were used in lifts to fill the excavation. Accelerations of the falling mass and vibration displacements of the ground surface at distances of 1.5, 4.3 and 10.8 m from the contact area were measured in the experiments.

The ground vibration measurement system consisted of VAGIK or K-001 seismographs and a H-004 oscillograph with GB galvanometers. The frequency range of this system for velocity and displacement measurements was from 1.0 to 100.0 Hz. For the same values of impacts, records and spectra of ground vibrations at 1.5, 4.3, and 10.8 m from the centre of the contact area are depicted in Figure 4.

Soil conditions at the contact area influenced the duration of impacts. Acceleration impulses were close to a bell shape for impacts onto the ground surface, bottom of the excavation, gravel and steel plate. The minimum contact time of 0.025 sec was observed for an impact onto the steel plate. In the rest of the three cases, duration of contact did not exceed 0.035 sec. For an impact onto sand, contact time increased to 0.06 sec and the impulse shape was close to a shifted half-sine with its greater steepness in the leading phase. Changing the drop height from 0.5 to 2.0 m did not affect the contact time.

Shapes of records measured at each location were approximately the same for different conditions at the contact area. The predominant frequency of ground vibrations, approximately 160.0 rad/sec, turned out to be independent of conditions at the contact area. In fact, an increase of duration of the bell-shaped impulse from 0.025 to 0.035 sec did not significantly change the amplitudes of ground vibrations. Thus, at distances of 4.3 and 10.8 m these amplitudes differed by only 5-8 % (Fig. 4, records 1-4). Enhancement of low-frequency components of the half-sine shaped acceleration impulse had only a weak effect on the frequency content of ground vibrations (Fig. 4, record 5). In the proximity of the contact area (r=1.5 m), an increase of impulse duration to 0.06 sec diminished the amplitudes of ground vibrations to 50-70 % as compared with other conditions at the contact area. However, moving further from the place of impact, this difference decreased to 20-35 % and 10-25 % for r=4.3 and 10.8 m, respectively. The distances of 4.3 and 10.8 m were 40-100 times greater than the radius of the contact area between the falling weight and the ground. Thus, at the locations in the proximity of the place of impact, amplitudes of ground vibrations decreased with an increase in impulse duration, but these changes decreased with distance from the contact area.

The effect of large plastic soil deformations at the contact area under a falling mass on ground vibrations was studied with a falling mass of 15.0 tonnes at a site where soil deposits were mostly fine moist sands. The drop height ranged from 10 to 15 m. Many impacts were performed at the same spot; consequently, large plastic soil deformations occurred at the point of impact. Records of ground vibration displacements at various distances from the place of impact onto the ground are depicted in Figure 5.

Comparison was made for records obtained for two equal impacts with different degrees of plastic soil deformations at the contact area. In particular, vibrations were measured at distance of 43 m for the first and ninth impacts, and at a distance of 57 m for the first and seventeenth impacts. For the first impact, the falling mass dropped onto a flat ground surface, but for the seventeenth impact, it dropped into a pit deeper than 1 m. In spite of considerable soil deformations at the contact area, each pair of ground surface vibrations are similar at locations of measurements. The results demonstrate that at any location on the ground, except probably a zone at close proximity to the source, soil vibration displacements measured simultaneously with impact onto the ground are stable, have well-defined shapes, are independent from the intensity of soil deformations at the contact area. The differences between displacement amplitudes measured during various impacts are within the limits of error of the measurement system. This confirms the reliability of using a deterministic perspective for prediction of construction and industrial vibrations.

Based on the experimental program described above, it has been shown that impacts directly onto the soil can be used for deriving impulse response functions of the considered dynamic system: the base under the source of vibrations – soil medium – ground or structure at some distance from the source.

5. Dynamic Loads Onto Ground

5.1 Machine Foundations

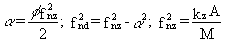
Dynamic loads at a machine foundation can be found using existing foundation dynamics theories, for example Barkan (1962) and Richart et al. (1970). It is known that the equation of vertical damped vibrations of foundations for machines with dynamic loads can be written as

(3)

with

(4)

where c = viscous damping coefficient; kz = spring constant for the vertical mode of foundation vibrations; P(t) = exciting force; M = mass of foundation and machine; /nz = natural frequency of vertical vibrations of foundation; a = effective damping constant.

An expression derived from equation (3) for a dynamic load applied to the soil is

(5)

The dynamic force transmitted from the machine foundation to the soil base depends on the foundation and machine mass, the damping constant, natural frequency of vertical foundation vibrations and vertical foundation displacements as a function of time.

Vibration displacements of the machine foundation can be assigned digitally by using an arbitrary shape or analytically as a damped sinusoid

(6)

with

(7)

where IF = impulse force transmitted from machine to foundation; F = modulus of damping; kzN = coefficient of vertical subgrade reaction; /nd = natural frequency of vertical damped vibrations of foundation; A = contact area between foundation and soil.

As suggested by Pavliuk and Kondin (1936), the modulus of damping, F, ranges in a relatively narrow range and is slightly dependent on soil conditions. For instance, values of F ranges from 0.004 to 0.008 sec for foundations with contact areas less than 10.0 m2. Coefficient, kzN is determined according to Barkan (1962). Also, it is possible to use other approaches for determining values of a and kzN.

5.2 Pile driving

Equation (5) can be used for determination of the dynamic loads transferred from the pile to the surrounding soil. In this case, M is the pile mass. The effective damping constant, a, is chosen from the range of damping constants for foundations with the smallest contact areas. A frequency of the hammer-pile-soil system is calculated by an equation (Svinkin, 1992) which takes into account pile material, the ratio of wave velocity in the pile to pile length and the pile weight to ram weight ratio.

Pile displacements as a function of time are computed by wave equation analysis, using for example, GRLWEAP Program (GRL and Associates, 1995). Computed displacement records at the pile top, middle, and bottom are presented in Figure 6 for a 457 x 457 mm prestressed concrete pile with length of 20.4 m. These three records are very similar and displacements at the pile top can be taken as a function z(t). For comparison, pile displacements at the same points, obtained by dynamic measurement at the pile top and by Case Pile Wave Analysis Program (CAPWAP) for the pile middle and bottom are shown in Figure 6. Both sets of curves were derived for the same pile capacity. It can be seen that measured results confirm the reasonableness of the use of wave equation analysis to compute pile displacements for vibration prediction.

5.3 Dynamic Compaction

For dynamic compaction of granular soil, loads from the source are calculated with known falling weights and heights.

6. Computation of Predicted Vibrations

For each single output point, the considered input – soil medium – output system is a one degree of freedom system and predicted displacements can be written as follows

(8)

where F(t) = the resultant dynamic force transmitted to the ground; x,y = coordinates of the output point under consideration at ground or structure; hz(x,y,t-t) = impulse response function at the output point under consideration; t = variable of integration.

With substitution of expression (5) and (6) equation (8) becomes

(9)

An example of predicted results is shown in Figure 7. Vertical and horizontal ground displacements were predicted at a distance of 266.0 m from the foundation under a powerful drop hammer at a site with the Rayleigh-wave velocity of 270 m/sec. The falling mass was 15.0 tonnes and the maximum drop height was 30.0 m. For both vertical and horizontal displacement components, three records are depicted: IRF, predicted, and measured curves. It can be seen that the IRFs make a substantial contribution to the actual vibrations, reflecting a very close record shapes to the measured ones. Correlation of predicted and measured vibration displacements is quite satisfactory. The differences between the highest calculated and measured amplitudes of oscillations are 16 and 30 % for horizontal and vertical components, respectively.

In current practice, the amplitude reduction of Rayleigh waves between two points at distances r1 and r2 from the source is calculated as (r1/r2)0.5 with a factor exp[-a(r2-r1)], where a is the coefficient of attenuation. The coefficient, a, depends on soil properties, on parameters of the source, on frequency and distance from the source. Test data along the ground surface show that for various pairs of widely separated points on the ground surface, values of a differ more than an order magnitude and even change a sign. Calculated maximum response is in the range of -100 to 330 %.

Unlike current practice, the suggested method predicts complete 3-D waveforms, vertical and two horizontal, with reasonable accuracy actual performance (an example demonstrates vertical and one horizontal waveforms). The best index of the reliability of the method is the comparison of computed and measured records. It was successfully done using the IRF concept.

7. Conclusions

The impulse response function concept is used to solve a geotechnical problem to predict ground and structure vibrations prior to the beginning of construction activities or installation of machine foundations.

The suggested deterministic approach uses the impulse response function technique for a considered dynamic system: ground at the place for the source of vibrations – soil medium – output locations of interest on ground or in any structure receiving vibrations. Experimental impulse response functions reflect real soil behavior and take into account uncertainty in the geologic environment. Such an approach does not require routine soil boring, sampling, and testing at the site where waves propagate from the vibration source. On the basis of experiments it was proved that impacts directly onto the soil can be used for deriving impulse response functions for the considered dynamic system.

Different ways were shown to determine dynamic loads onto the ground from machine foundations, pile driving and dynamic compaction of granular soil. An algorithm is presented to compute predicted vibrations, and an example of predicted results are demonstrated for vertical and horizontal ground displacements. There is quite satisfactory correlation between predicted and measured records.

The suggested approach provides the method for determining and monitoring of ground, structures and sensitive devices vibration level before the start of construction or industrial vibration activities.

Acknowledgements

The writer is grateful to Professor Richard D. Woods for many valuable comments and suggestions for the manuscript. The writer wishes to thank the reviewers for their constructive reviews of the manuscript.

APPENDIX. REFERENCES

  • Attewell, P.B. and Farmer, I.W. (1973). “Attenuation of ground vibrations from piles.” Ground Engrg., 6(4), 26-29.
  • Barkan, D.D. (1962). Dynamics of bases and foundations. McGraw Hill Co., New York, 434.
  • Bendat, J.S and Piersol, A.G. (1993). Engineering applications of correlation and spectral analysis. John Wiley & Sons, Inc., 458.
  • Bibanov, V.I., Goncharov, L.A., Konstantinov, B.B., Krasnikov, N.D., and Tishenko, V.G. (1964). “Experimental investigations of vibrations of massive concrete blocks on sandy base” (in Russian). Questions of Engrg. Seismology, Proc. of Institute of Earth Physics, Vol. 9, “Nauka”, Moscow.
  • Broers, H. and Dieterman H.A. (1992). “Environmental impact of pile-driving.” Proc., 4th Intern. Conf. on Application of Stress Wave Theory to Piles, F.B.J. Barends, ed., A.A. Balkema, The Hague, The Netherlands, 61-68.
  • Dowding, C.H. (1994). “Vibration induced settlement from blast densification and pile driving.” Proc., ASCE Settlement ’94, Vertical and Horizontal Deformations of Foundations and Embankments, Vol. 2, 1672-1688.
  • GRL and Associates, Inc. (1993). CAPWAP- Case Pile Wave Analysis Program, Continuous Model, Manual. Cleveland, Ohio, USA.
  • GRL and Associates, Inc. (1995). GRLWEAP- Wave Equation Analysis of Pile Driving, Manual. Cleveland, Ohio, USA.
  • Hammond, R.E.R. (1959). “Vibration-controlled foundations at Salten.” Iron and Steel, Vol. 32, No. 3.
  • Hanazato, T. and Kishida, H. (1992). Analysis of ground vibrations generated by pile driving – Application of pile driving analysis to environmental problem.” Proc., 4th Intern. Conf. on Application of Stress Wave Theory to Piles, F.B.J. Barends, ed., A.A. Balkema, The Hague, The Netherlands, 105-110.
  • Helbig, K. (1993). “Simultaneous observation of seismic waves of different polarization indicates subsurface anisotropy and might help to unravel its cause.” J. Applied Geophysics, Vol. 30, 1-24.
  • Lacy, H.S. and Gould, J.P. (1985). “Settlement from pile driving in sands.” Proc., ASCE Symposium on Vibration Problems in Geotech. Engrg., Detroit, Michigan, 152-173.
  • Leroueil, S. and Tavenas, F. (1981). “Pitfalls of back-analysis.” 10th Inter. Conf. on Soil Mechanics and Foundation Engrg., Stockholm, Vol. 1, 185-190.
  • Lysmer, J and Richart F.E. Jr. (1966). “Dynamic response of footings to vertical loading.” J. Soil Mech. and Found. Div., ASCE, 92, No. SM 1, 65-91.
  • Mallard, D.J. and Bastow, P. (1979). “Some observations on the vibrations caused by pile driving.” Proc., Conf. on Recent Developments in the Design and Construction of Piles, ICE, Thomas Telford Ltd, London, 261-284.
  • Mayhan, R.J. (1984). Discrete-time and continuous-time linear systems. Addison-Wesley Publishing Co., 644.
  • Mayne, P.W. (1985). “Ground vibrations during dynamic compaction.” Proc., ASCE Symposium on Vibration Problems in Geotech. Engrg., Detroit, Michigan, 247-265.
  • Pavliuk, N.P. and Kondin, A.D. (1936). “Damping of vibrations of foundations under machinery” (in Russian). Proekt i Standart, No. 11.
  • Richart, F.E., Hall, J.R. and Woods, R.D. (1970). Vibrations of soils and foundations. Prentic-Hall, Inc., Englewood Cliffs, NJ, 414.
  • Sliwa, G. (1964). “Some dynamic problems of foundations under drop hammers” (in Polish). Zesk. Nauk. Politechn, Slaskiej, No. 107.
  • Smith, G.M. and Downey G.L. (1968). Advanced engineering dynamics. International Textbook Company, Scranton, Pennsylvania, 440.
  • Svinkin, M.R. (1973a). “Prediction of soil oscillations from machine foundation vibrations” (in Russian). Dynamics of structures, Proc., Kharkov Scientific-Research and Design Inst. for Industrial Constr., Budivelnic, Kiev, 53-65.
  • Svinkin, M.R. (1973b). “On linearity of soil bases and machine foundations” (in Russian). Dynamics of structures, Proc., Kharkov Scientific-Research and Design Inst. for Industrial Constr., Budivelnic, Kiev, 44-52.
  • Svinkin, M.R. (1976a). “Some features of soil vibrations due to effect of operating machines producing impact loads” (in Russian). Dynamic of Building Structures, Proc. Leningrad Design Institute for Industrial Construction, Leningrad, 57-66.
  • Svinkin, M.R. (1976b). “Experimental investigations of soil vibrations under impulse force” (in Russian). Dynamics of Structures, Proc. of the Kharkov Scientific-Research and Design Institute for Industrial Construction, Budivelnic, Kiev, 15-23.
  • Svinkin, M.R. (1991). “Predicting vibrations of soil and buildings excited by machine foundations under dynamic loads.” Proc., 2nd Inter. Conf. on Recent Advances in Geotechn. Engrg. and Soil Dynamics, University of Missouri-Rolla, Rolla, Mo., Vol. 2, 1435-1441.
  • Svinkin, M.R. (1992). “Pile driving induced vibrations as a source of industrial seismology.” Proc. 4th Inter. Conf. on the Application of Stress-Wave Theory to Piles, F.B.J. Barends, ed., A.A. Balkema, The Hague, The Netherlands, 167-174.
  • Svinkin, M.R. (1993). “Analyzing man-made vibrations, diagnostics and monitoring.” Proc., 3rd Inter. Conf. on Case Histories in Geotechn. Engrg., University of Missouri-Rolla, Rolla, Mo., Vol. 1, 663-670.
  • Thorburn, S. (1994). “Uncertainty and judgement in geotechnical engineering.” Ground Engrg., Vol. 27, No.3, 18-22.
  • Wiss, J.F. (1981). “Construction vibrations: State-of-the-Art.” J. Geotech. Engrg., ASCE,Vol. 107, No. GT2, 167-181.
  • Woods, R.D. and Jedele, L.P. (1985). “Energy-attenuation relationships from construction vibrations.” Proc., ASCE Symposium on Vibration Problems in Geotech. Engrg., Detroit, Michigan, 229-246.

svk1.gif (10491 bytes)

FIG. 1. Displacement Records and Spectra of (1) Forge Hammer Foundation and (2-9) Ground Vibrations: 1-5 – Vertical Component, 6 – Horizontal Tangential Component, 7-9 – Horizontal Radial Component

svk2.gif (1937 bytes)

FIG. 2. Experimental Determination of Impulse Response Functions

svk3.gif (1576 bytes)

FIG. 3. Linearity of Vertical Ground Vibrations at Distances of (a) 6.0 m and (b) 53.0 m from Source for Different Impact Velocity of Hammer Falling Mass

svk4.gif (9139 bytes)

FIG. 4. Displacement Records and Spectra of Vertical Ground Vibrations for Various Conditions at Contact Area: 1 – Ground Surface, 2 – Bottom of Excavation, 3 – Gravel, 4 – Steel Plate, 5 – Sand

svk5.gif (4268 bytes)

FIG. 5. Comparison of Two Different Displacement Records of Ground Vibrations in Fine Sands for Identical Impacts onto Ground by Falling Mass of 15.0 tonnes

svk6.gif (2518 bytes)

FIG. 6. Displacements at Pile Top, Middle and Bottom during Driving: a – Computed by GRLWEAP, b – Measured at Pile Top and Obtained by CAPWAP Analysis at Pile Middle and Bottom

svk7.gif (6720 bytes)

FIG. 7. Displacement Records of (a) Vertical and (b) Horizontal Ground Vibrations at Distance of 266.0 m from the Drop Hammer Foundation (m = 15 tonnes, h = 30 m): 1 – Impulse Response Function, 2 – Predicted Record, 3 – Measured Record

One thought on “Overcoming Soil Uncertainty in Prediction of Construction and Industrial Vibrations

Leave a comment

This site uses Akismet to reduce spam. Learn how your comment data is processed.